从承德中考招生服务电子平台获悉,2025年河北承德普通高中招生录取情况及最低控制分数线已公布,其中承德一中控制线是726分。具体详情小编整理如下:

2025年河北承德普通高中招生录取情况及最低控制分数线(面向全市或区域外部分)公布如下:

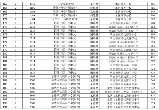
2025年河北承德普通高中招生录取情况及最低控制分数线(面向本区域部分)公布如下:








录取原则及依据
普通高中学校招生坚持全面衡量、综合评价、尊重志愿、择优录取的原则。录取依据:(一)全省统一初中学业水平考试文化科目,物理、化学、生物学实验操作技能考试,信息技术考试,体育与健康考试,总分800分;(二)初中毕业生综合素质评价结果〔所有普通高中学校要求C等级以上(包括C等级)〕,综合素质评价要按照《承德市初中学生综合素质评价指导意见(试行)》要求,依托承德市初中学生综合素质评价电子平台,学校科学准确为每个学生确定评价等级。(三)普通高中学校招生录取各类优惠政策严格按照《承德市教育局关于做好2025年初中学业水平考试工作的通知》(承教基〔2025〕10号)文件执行。
录取管理办法
每个批次考生只能填报一个志愿。普通高中招生录取依据考生志愿,按志愿批次录取。考生在填报志愿时应慎重,根据所填报志愿顺序,一经被上一批次学校录取,将不再参加后续批次学校的录取。根据初中学业水平考试成绩和考生填报志愿情况确定省级示范性高中、其他普通高中最低录取分数线,招收体育艺术特长生的根据报考情况可适当降低录取分数线。普通高中新生录取工作分两个批次进行,即第一批、第二批,录取时间为7月12日—15日。每个批次录取结束后,未被录取的考生参加下一批次录取。
2025年,继续停止市域外民办普通高中在我市招生,各校负责告知全体考生;继续停止我市民办普通高中在市域外招生。各普通高中严禁录取无河北省初中学业水平考试成绩的学生。